东南大学张友法团队JMCA内封底:柔性可转移超疏水薄膜
【引言】
材料表面超疏水技术在航空航天、石油化工、船舶、汽车以及节能环保领域有重要且广泛的应用前景,是近二十年来材料科学与工程领域研究的前沿和热点之一。然而,现有的超疏水表面一旦受损后很难修复和清理,使其使用寿命短且成本较高,一直是制约其大规模应用的主要因素之一。
【成果简介】
近日,东南大学张友法团队在柔性可转移超疏水薄膜研究中取得重要进展。该研究成果以Large-scale fabrication of translucent, stretchable and durable superhydrophobic composite films为标题于2017年11月22日发表在英国皇家化学会期刊《材料化学杂志A》(Journal of Materials Chemistry A, 2017, 5, 23489-23496),并入选为当期内封底论文和Hot Paper。第一作者为东南大学博士生王山林,通讯作者为东南大学副教授张友法。
【本文亮点】
张友法团队受到墙纸和贴膜的启示,通过两步喷涂法和脱模技术,制备出了具有半透明、耐高温、耐超低温、可拉伸、可撞击、可摩擦以及耐化学腐蚀等特性的柔性可转移的超疏水薄膜,该技术具有可规模化生产、设备工艺简单、操作简便、成本低廉等优点,有望在装饰、建筑、汽车、运输、电子以及可穿戴设备等方面展现出巨大的应用潜能。
【图文导读】
图1.超疏水薄膜的制备与表征
a.制备流程示意图
b.实物图(插图:接触角)
c.贴于背光设备实物图
d-g.侧面与表面的FESEM图
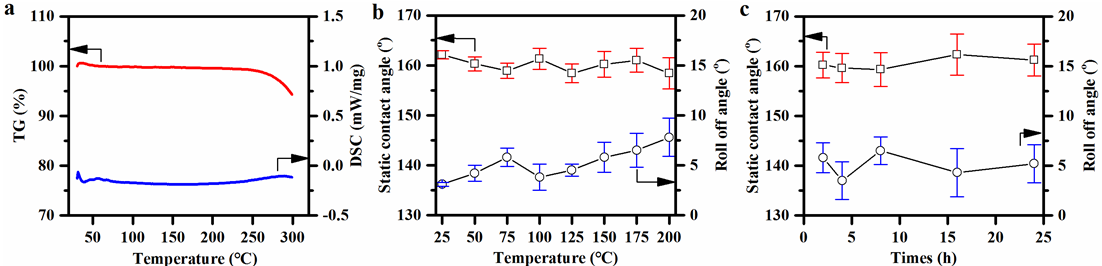
图2.超疏水薄膜的热稳定性
a.TG-DSC曲线图
b.不同温度处理2h后的接触角与滚动角变化
c.150℃处理不同时间后的接触角与滚动角变化
图3.超疏水薄膜的拉伸特性
a.应力-应变曲线图
b.不同应变下的疏水特性实物图
c.不同应变下的接触角与滚动角变化
d.20%应变下拉伸不同周期的接触角与滚动角
文献链接:Large-scale fabrication of translucent, stretchable and durable superhydrophobic composite films(J. Mater. Chem. A, 2017,doi: 10.1039/C7TA08203G )
【导师简介】
张友法,副教授,博士生导师,2003年7月毕业于吉林大学,获学士学位,2008年6月于吉林大学获材料学专业博士学位,并任教东南大学材料学院担任讲师,2012年4月被提升为副教授,2013年1月至2014年3月于宾夕法尼亚大学材料科学与工程系任访问学者。近年来的主要研究方向为超浸润性表面的研制及其工程应用。先后主持国家重大滚球体育 专项、国家自然科学基金、省部级基金及军工项目等10余项。
本文由东南大学王山林提供。
欧洲足球赛事 网专注于跟踪材料领域滚球体育 及行业进展,这里汇集了各大高校硕博生、一线科研人员以及行业从业者,如果您对于跟踪材料领域滚球体育 进展,解读高水平文章或是评述行业有兴趣,点我加入编辑部大家庭。
欢迎大家到材料人宣传滚球体育 成果并对文献进行深入解读,投稿邮箱tougao@cailiaoren.com。
投稿以及内容合作可加编辑微信:RDD-2011-CHERISH,任丹丹,我们会邀请各位老师加入专家群。
材料测试、数据分析,上测试谷!








文章评论(0)