河北大学闫小兵课题组Materials Horizons:一种碳细丝忆阻器设计及其存储和电子突触应用
【引言】
对于石墨烯的研究人们都在追求高质量无缺陷,而大面积制备的石墨烯存在缺陷是无法避免的,并且随着层数增多缺陷也越多,这也是迄今为止石墨烯在电子器件中应用面临的最重要挑战之一。本研究设计了一种利用石墨烯缺陷边缘碳原子不稳定性,在电场的调控下形成碳导电细丝。从而实现了具有神经调控功能的忆阻器。解决了传统导电丝(如Ag+、Cu2+)成核随机性和不可控性的问题,提高了忆阻器开关电压的均匀性和稳定性,降低了忆阻器器件的功耗。这是缺陷型多层石墨烯在新型电子器件中的首次应用演示。
【成果简介】
近日,河北大学的闫小兵课题组在Materials Horizons上发表了一篇题为 “Designing carbon conductive filament memristor devices for memory and electronic synapse applications”的文章。在这项工作中,通过电子能量损失谱和第一性原理计算首次在忆阻器中证实了碳导电细丝的存在,并通过电场调控实现了仿生神经突触功能。这项工作突破了大面积缺陷型石墨烯在电子器件中应用的局限性,为大面积缺陷型石墨烯的应用打开了新思路。
【图文导读】
图1忆阻器器件结构示意图及电学特性。
(a)TiN/AlN/Pd(GLDs)和TiN/AlN/Graphene/Pd(GDs)器件结构图;(b)GLDs器件60次电流电压循环特性;(c)GDs器件 500次电流电压循环特性;(d)GLDs器件开关电压分布图;(e)GDs器件开关电压分布;(f)GLDs器件和GDs器件的保持特性;GDs 器件能够在最高473K下保持104秒。
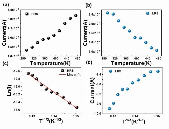
图2 GDs器件温度依赖特性和导电机制的研究。
(a)高阻态的温度依赖特性图;(b)低阻态温度依赖特性图;(c) 高阻态的可变程跃迁模型及线性拟合;(d)低阻态可变程跃迁模型。
图3 TiN/AlN/Graphene/Pt在LRS状态下形成的纳米丝的结构及组成分析。
(a) 开关区域截面的电子能量损失谱图;(b)在图(a)中蓝色区域的放大图;(c)图(b)中6个点提取的碳元素含量图;(d)图(b)中提取的从上到下元素线分布图;(e)GDs器件开关原理示意图。
图4 用于第一性原理计算的多层石墨烯和氮化铝缺陷模型示意图。
(a)用于第一性原理计算的多层石墨烯;(b) 1到8层的缺陷形成能;(c) C原子占据Al位点;(d) C原子占据N位点;(e) C原子占据八面体间质位点;(f) C原子占据四面体间质位点。
图5 神经突触示意图和GDs神经调控。
(a) 轴突(突触前)和树突(突触后)之间突触可塑性调节的示意图;(b)脉冲数与电导的关系;(c)-(e) 电导与脉冲间隔、宽度和振幅的关系;(e) GDs的双脉冲易化(PPF)特性;(f) GDs器件尖峰时序依赖的可塑性(STDP)。
本工作突破了石墨烯缺陷在电子器件中应用的局限性,创造性地设计了一种基于碳导电丝机制的忆阻器。首次提出用碳原子扩散动力学模拟生物突触内钙离子的动力学。并且获得了高开关稳定性和低功耗的神经形态忆阻器。电子能量损失谱实验数据和第一性原理计算可以证明由碳原子组成的细丝的形成以及碳原子在AlN膜中的扩散可能性。 并对石墨烯层中碳原子的缺陷能进行阐述。这项工作为碳导电丝基忆阻器的发展及其在神经形态忆阻器中的应用提供了参考。
文章链接:
https://pubsrsc.xilesou.top/en/content/articlelanding/2020/mh/c9mh01684h/unauth
DOI: https://doi.org/10.1039/C9MH01684H








文章评论(0)