Nano Lett.:具有独特磁特性的各向异性Fe3O4/Mn3O4混合纳米晶体
【引言】
具有单一组分的大尺寸或纳米级磁性材料已经得到广泛的生产,并且在现代社会中起着关键的作用。但技术的快速发展需要具有独特性能的小型化磁性部件和磁性结构。近年来,含有混合磁性材料的薄膜结构在多种领域中进行了探索,譬如新磁材、数据存储以及自旋阀结构。目前,含有两种或多种次磁性组分的胶体核壳纳米晶体正在进行研发,它们可展现出优异的特性,比如可改变的间歇温度和矫顽磁性、正向交换偏置、邻近效应以及磁热诱导。
然而,现有核壳结构的胶体混合纳米晶体在核壳间只能表现出各向同性的磁相互作用,同时二维混合磁性薄膜的许多磁特性在相应的核/壳纳米晶体中尚未被观察到。所以,实现具有各向异性的胶体混合磁性材料仍是一项具有挑战性的工作。
【成果简介】
近日,浙江大学的彭笑刚教授(通讯作者)等人使合成具有独特性质的各向异性混合磁性纳米晶体成为可能。这项工作是通过在溶液中的Mn3O4纳米区在胶质Fe3O4纳米棱镜上进行位置和面的选择性外延来合成新型的磁性材料。在190℃时,Mn3O4纳米区在Fe3O4纳米棱镜的三个顶点上外延生长,形成角-棱柱混合纳米晶体;而在240℃时,Mn3O4纳米区在Fe3O4纳米棱镜顶面上外延生长,形成棱柱-棱柱混合纳米晶体。且在这两个温度之间,随着温度的增加,棱柱-棱柱与角-棱柱混合纳米晶体的比例在增大。由此方法制备的混合磁性材料具有许多优异的磁特性,在未来,为各种先进磁设备的发展提供了一种灵活且低成本的方法。相关研究成果以“Anisotropic Fe3O4/Mn3O4 Hybrid Nanocrystals with Unique Magnetic Properties”为题于2017年5月12日发表在期刊Nano Letters上。
【图文导读】
图1 各种物质的表征测试结果图
(a)具有两个方向的Fe3O4种子的TEM图;
(b)角-棱柱混合纳米晶体的TEM图;
(c)棱柱-棱柱混合纳米晶体的TEM图;
(d)对于具有两个方向的Fe3O4种子及两种混合纳米晶体的电子衍射图;
(e)单个H-O-P混合纳米晶体的STEM暗场图及相应的EDS映射图,其中Mn为绿色,铁为红色;
(f)单个P-O-P混合纳米晶体的STEM暗场图及相应的EDS映射图,其中Mn为绿色,铁为红色。
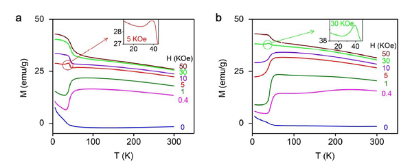
图2两种混合纳米晶体的M-T测量
(a)在不同的外加磁场下,H-O-P混合纳米晶体的M-T曲线,插图为在5kOe时放大的M-T曲线;
(b)在不同的外加磁场下,P-O-P混合纳米晶体的M-T曲线,插图为在30kOe时放大的M-T曲线。
图3 两种混合纳米晶体的M-H测量
(a)对于H-O-P及P-O-P样品,典型温度为5K时的M-H曲线;
(b)对于H-O-P及P-O-P样品,典型温度为20K时的M-H曲线;
(c)对于H-O-P及P-O-P样品,典型温度为33K时的M-H曲线;
(d)对于H-O-P及P-O-P样品,典型温度为45K时的M-H曲线;
(e)对于H-O-P及P-O-P样品,典型温度为60K时的M-H曲线;
(f)对于H-O-P及P-O-P样品,典型温度为120K时的M-H曲线;
(g)对于H-O-P及P-O-P样品的Hc-T(矫顽力场与温度)曲线;
(h)对于H-O-P及P-O-P样品的Mr-T(剩磁与温度)曲线。
【小结】
本文报道了一种低成本制备混合纳米晶体的方法,通过此方法得到的Fe3O4/Mn3O4混合纳米晶体具有一些独特的磁特性,包括在混合纳米晶体中Fe3O4与Mn3O4纳米区域间的补偿点、在低场具有缩小的磁滞回线和在高场具有扩大的磁滞回线等,在先进磁性设备的制备方面有较大的应用价值。
文献链接:Anisotropic Fe3O4/Mn3O4 Hybrid Nanocrystals with Unique Magnetic Properties(Nano Lett.,2017,DOI: 10.1021/acs.nanolett.7b00727)
该文献汇总由材料人编辑部纳米学术组张虞供稿,欧洲足球赛事 编译整理。
欧洲足球赛事 网专注于跟踪材料领域滚球体育 及行业进展,这里汇集了各大高校硕博生、一线滚球体育 人员及行业从业者,如果您对于跟踪材料领域滚球体育 进展,解读高水平文章或是评论行业有兴趣,点我加入材料人编辑部。
材料人网尊重所以进行知识传播的媒体,转载请联系tougao@cailiaoren.com
材料测试,数据分析,上测试谷!






文章评论(0)